SOLUTION: A student must leave for campus in 10 minutes or he will be late for class.​ Unfortunately, he is snowed in. He can shovel the driveway in 1616 ​minutes, and his br

Algebra ->  Customizable Word Problem Solvers  -> Misc -> SOLUTION: A student must leave for campus in 10 minutes or he will be late for class.​ Unfortunately, he is snowed in. He can shovel the driveway in 1616 ​minutes, and his br      Log On

Ad: Over 600 Algebra Word Problems at edhelper.com


   



Question 1013183: A student must leave for campus in 10 minutes or he will be late for class.​ Unfortunately, he is snowed in. He can shovel the driveway in
1616
​minutes, and his brother claims to be able to do it in
1212
minutes. If they shovel​ together, how long will it take to clear the​ driveway? Will this give enough time for the student to get to the​ campus?

Answer by fractalier(6550) About Me  (Show Source):
You can put this solution on YOUR website!
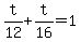
I'm thinking you mean 16 and 12 minutes...if so the set up looks like this...
t%2F12+%2B+t%2F16+=+1
Now multiply by 48 and solve for the time t...
4t + 3t = 48
7t = 48
t = 48/7 minutes
That means he can leave in almost 7 minutes...