Lesson Find the derivative of a function defined by complicated expression

Algebra ->  Customizable Word Problem Solvers  -> Misc -> Lesson Find the derivative of a function defined by complicated expression      Log On

Ad: Over 600 Algebra Word Problems at edhelper.com


   


This Lesson (Find the derivative of a function defined by complicated expression) was created by by ikleyn(52944) About Me : View Source, Show
About ikleyn:

Find the derivative of a function defined by complicated expression


Problem 1

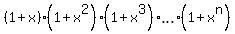
If   y = %281+%2B+x%29%2A%281+%2B+x%5E2%29%2A%281+%2B+x%5E3%29%2Aellipsis%2A%281+%2B+x%5En%29,   find   %28dy%29%2F%28dx%29   at x = 1.

Solution

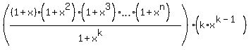
Apply the formula for the derivative of a product.


You will get that the derivative dy/dx is the sum of n addends.


The k-th addend is

    .


At x= 1, the k-th addend is  %28%282%5En%29%2F2%29%2Ak = k%2A2%5E%28n-1%29.


The sum of n these addends is  2%5E%28n-1%29%2A%28%28n%2A%28n%2B1%29%29%2F2%29 = 2%5E%28n-2%29%2An%2A%28n%2B1%29.    ANSWER


My other lessons on Calculus word problems at this site are
    - A ladder foot slides on the ground
    - Finding rate of change of some processes
    - Taking derivative of a function, which is defined implicitly
    - Find the derivative for a function satisfying given functional equation
    - Find the range of  f(x) = (5*cos(x))/(x + 1)),  x >=0
    - A tricky Calculus problem on derivative and anti-derivative
    - Couple of non-standard Calculus problems
    - Finding the minimum of a function defined on a curve in a coordinate plane
    - Tricky solution to find the maximum of a function defined by a complicated expression
    - Maximize the area of a trapezoid
    - Maximize the volume of an open box
    - Minimize surface area of a rectangular box with the given volume
    - Minimize the cost of an aquarium with the given volume
    - Minimize surface area of a conical paper cup with the given volume
    - Find the volume of a solid obtained by rotation of some plane shape about an axis
    - Finding the volume of a solid body mentally
    - OVERVIEW of my lessons on Calculus word problems

Use this file/link  ALGEBRA-II - YOUR ONLINE TEXTBOOK  to navigate over all topics and lessons of the online textbook  ALGEBRA-II.


This lesson has been accessed 498 times.