SOLUTION: a trapezoidal gutter is to be made, from a strip of metal 12m wide by bending up the edges. Determine where to bend the metal and the angle to bend it at to maximise the cross sect

Algebra ->  Customizable Word Problem Solvers  -> Geometry -> SOLUTION: a trapezoidal gutter is to be made, from a strip of metal 12m wide by bending up the edges. Determine where to bend the metal and the angle to bend it at to maximise the cross sect      Log On

Ad: Over 600 Algebra Word Problems at edhelper.com


   



Question 995547: a trapezoidal gutter is to be made, from a strip of metal 12m wide by bending up the edges. Determine where to bend the metal and the angle to bend it at to maximise the cross sectional area and hence the capacity of the gutter

Answer by KMST(5345) About Me  (Show Source):
You can put this solution on YOUR website!
The fact that the problem asks about "the angle" to bend the metal,
means that the trapezoid section is an isosceles trapezoid,
with the same angle on either side of each base.
with
The area is a function of x and y .
Because of its definition as cos%28A%29 , -1%3C=x%3C=1 ,
but x=1 would give us a zero area,
and we know that for x%3C0 , -x would give us a larger area,
so we expect that for maximum area we need 0%3C=x%3C1 .
Also, we know that 0%3C=y%3C=6 ,
and since y=0 would give us a zero area,
we expect that for maximum area we need 0%3Cy%3C=6 .
We need to find a maximum for the function

in the domain system%280%3C=x%3C1%2C0%3Cy%3C=6%29 .
Towards the boundaries x=1 and y=0 , area tends to zero.
On each of the boundaries x=0 and y=6 ,
area is a function of the other variable,
with a maximum of 18 .
Is there a local maximum, with area%3E18 somewhere in the middle of the domain?
If there is one, the partial derivatives at that point are zero.

d%28area%29%2Fdy=%2812-4y%2B2xy%29sqrt%281-x%5E2%29%29=2%286-2y%2Bxy%29sqrt%281-x%5E2%29%29
system%28d%28area%29%2Fdx=0%2C0%3C=x%3C1%2C0%3Cy%3C=6%29--->y-12x%2B2xy-2x%5E2y=0
system%28d%28area%29%2Fdy=0%2C0%3C=x%3C1%2C0%3Cy%3C=6%29--->6-2y%2Bxy=0
So we have to solve
system%286-2y%2Bxy=0%2Cy-12x%2B2xy-2x%5E2y=0%29
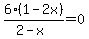
6-2y%2Bxy=0--->6=2y-xy--->6=%282-x%29y--->y=6%2F%282-x%29
Substituting y=6%2F%282-x%290 into y-12x%2B2xy-2x%5E2y=0 we get
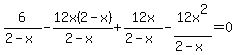
6%2F%282-x%29-12x%2B12x%2F%282-x%29-12x%5E2%2F%282-x%29=0
6%2F%282-x%29-12x%282-x%29%2F%282-x%29%2B12x%2F%282-x%29-12x%5E2%2F%282-x%29=0
6%2F%282-x%29%2B%2812x%5E2-24x%29%2F%282-x%29%2B12x%2F%282-x%29-12x%5E2%2F%282-x%29=0
%286%2B12x%5E2-24x%2B12x-12x%5E2%29%2F%282-x%29=0
%286-12x%29%2F%282-x%29=0--->6%281-2x%29%2F%282-x%29=0--->1-2x=0--->highlight%28x=1%2F2%29---> cos%28A%29=1%2F2--->highlight%28A=pi%2F3%29 or highlight%28A=60%5Eo%29 .
Then system%28x=1%2F2%2Cy=6%2F%282-x%29%29--->highlight%28y=4%29 .
So bending lengthwise the 12m wide strip of metal at highlight%2860%5Eo%29 angles along two lines highlight%284m%29 from the edges, you get a gutter with a section in the shape of an isosceles trapezoid with maximum area.
That maximum area is
area=6%2A2sqrt%283%2F2%29m%5E2=13sqrt%283%29=about20.8m%5E2