SOLUTION: Please help me answer this: show that m(x^2-x)+1-m=x^2 has real roots for all real values of m. (P.S. Do forgive me for all the inconvenience.)

Algebra ->  Customizable Word Problem Solvers  -> Geometry -> SOLUTION: Please help me answer this: show that m(x^2-x)+1-m=x^2 has real roots for all real values of m. (P.S. Do forgive me for all the inconvenience.)      Log On

Ad: Over 600 Algebra Word Problems at edhelper.com


   



Question 948575: Please help me answer this: show that m(x^2-x)+1-m=x^2 has real roots for all real values of m. (P.S. Do forgive me for all the inconvenience.)
Answer by josgarithmetic(39631) About Me  (Show Source):
You can put this solution on YOUR website!
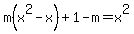
m%28x%5E2-x%29%2B1-m=x%5E2
Quadratic equation with "unknown" x, and constant m.
Real roots? Discriminant must be non-negative.

mx%5E2-mx%2B1-m-x%5E2=0
mx%5E2-x%5E2-mx%2B1-m=0
%28m-1%29x%5E2-mx%2B%281-m%29=0, the given equation now in general form.

Inequality for the discriminant needed:
highlight_green%28m%5E2-4%28m-1%29%281-m%29%3E=0%29, left member is the discriminant.
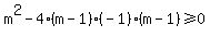
m%5E2-4%28m-1%29%28-1%29%28m-1%29%3E=0
m%5E2%2B4%28m-1%29%5E2%3E=0
m%5E2%2B4%28m%5E2-2m%2B1%29%3E=0
m%5E2%2B4m%5E2-8m%2B4%3E=0
highlight_green%285m%5E2-8m%2B4%3E=0%29

The truth of this m inequality depends on no real roots for m, meaning the discriminant of just the m inequality must be NEGATIVE.
If %28-8%29%5E2-4%2A5%284%29%3C0, then the m quadratic inequality has no real roots.
64-20%2A4%3C0
64-80%3C0
highlight_green%28-16%3C0%29------TRUE.

That truth means that the 5m%5E2-8m%2B4%3E=0 is satisfied; and that means that the original given equation will have real roots (for all m).