SOLUTION: A flag is in the shape of a 30°-60°-90° triangle. The shorter leg has a length of 10 inches. What is the length of the hypotenuse?
Algebra
->
Customizable Word Problem Solvers
->
Geometry
-> SOLUTION: A flag is in the shape of a 30°-60°-90° triangle. The shorter leg has a length of 10 inches. What is the length of the hypotenuse?
Log On
Ad:
Over 600 Algebra Word Problems at edhelper.com
Word Problems: Geometry
Word
Solvers
Solvers
Lessons
Lessons
Answers archive
Answers
Click here to see ALL problems on Geometry Word Problems
Question 835599
:
A flag is in the shape of a 30°-60°-90° triangle. The shorter leg has a length of 10 inches. What is the length of the hypotenuse?
Answer by
tommyt3rd(5050)
(
Show Source
):
You can
put this solution on YOUR website!
If by shorter, you mean the side of shortest length...
h=2s=20
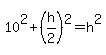
otherwise:
which leads to