SOLUTION: A television screen measures 32 inches diagonally, and its aspect ratio is 4 to 3. Find the width and the height of the screen. (Round your answers to one decimal place.) How do I

Algebra ->  Customizable Word Problem Solvers  -> Geometry -> SOLUTION: A television screen measures 32 inches diagonally, and its aspect ratio is 4 to 3. Find the width and the height of the screen. (Round your answers to one decimal place.) How do I       Log On

Ad: Over 600 Algebra Word Problems at edhelper.com


   



Question 726702: A television screen measures 32 inches diagonally, and its aspect ratio is 4 to 3. Find the width and the height of the screen. (Round your answers to one decimal place.) How do I break this down into an equation that is easier to work? I get lost with c^2=a^2+b^2
Answer by Alan3354(69443) About Me  (Show Source):
You can put this solution on YOUR website!
A television screen measures 32 inches diagonally, and its aspect ratio is 4 to 3. Find the width and the height of the screen.
------------------
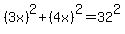
The ratio is H to W is 3:4
%283x%29%5E2+%2B+%284x%29%5E2+=+32%5E2
25x%5E2+=+1024
x = 32/5 = 6.4
------
h = 3*6.4 = 19.2"
w = 4*6.4 = 25.6"
------
For all 4:3 TVs,
Width = D*0.8
Height = D*0.6
------
16:9 is not as simple.