SOLUTION: Find the length of the chord of the ellipse {(x^2)/(a^2)}+{(y^2)/(b^2)}=1 directed along the diagonal of the rectangle constructed on the axes of the ellipse?

Algebra ->  Customizable Word Problem Solvers  -> Geometry -> SOLUTION: Find the length of the chord of the ellipse {(x^2)/(a^2)}+{(y^2)/(b^2)}=1 directed along the diagonal of the rectangle constructed on the axes of the ellipse?       Log On

Ad: Over 600 Algebra Word Problems at edhelper.com


   



Question 558308: Find the length of the chord of the ellipse {(x^2)/(a^2)}+{(y^2)/(b^2)}=1 directed along the diagonal of the rectangle constructed on the axes of the ellipse?

Answer by Edwin McCravy(20077) About Me  (Show Source):
You can put this solution on YOUR website!


We need to find the distance between the two points where the green line
intersects the red ellipse.

First find the equation of the green line:

It passes through the origin (0,0) and the point (a,b)

We find its slope:

m = %28y%5B2%5D-y%5B1%5D%29%2F%28x%5B2%5D-x%5B1%5D%29
 
m = %28b-0%29%2F%28a-0%29 = b%2Fa

Using the point-slope formula:

y - y1 = m(x - x1)

y - 0 = b%2Fa(x - 0)

y = a%2Fbx

To find the endpoints of the chord, where
the green line intersects the red ellipse,
we solve the system of equations:

system%28x%5E2%2Fa%5E2%2By%5E2%2Fb%5E2=1%2Cy=expr%28a%2Fb%29x%29

We clear each of fractions:

b²x² + a²y² = a²b²
         ay = bx

Square both sides of the second equation:

       a²y² = b²x²

Substitute b²x² for a²y² in 

b²x² + b²x² = a²b²

      2b²x² = a²b²

         x² = %28a%5E2b%5E2%29%2F%282b%5E2%29

         x² = a%5E2%2F2

          x = %22%22+%2B-+sqrt%28a%5E2%2F2%29 

          x = %22%22+%2B-+a%2Fsqrt%282%29

          x = %22%22+%2B-+%28a%2Asqrt%282%29%29%2F2 

Substitute a²y² for b²x² in 

a²y² + a²y² = a²b²

      2a²y² = a²b²

         y² = %28a%5E2b%5E2%29%2F%282a%5E2%29

         y² = b%5E2%2F2

          y = %22%22+%2B-+sqrt%28b%5E2%2F2%29 

          y = %22%22+%2B-+b%2Fsqrt%282%29

          y = %22%22+%2B-+%28b%2Asqrt%282%29%29%2F2

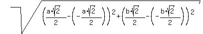
So the end points of the chord are

 and  


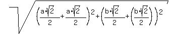
We use the distance formula to find the length of the chord:

d = sqrt%28%28x%5B2%5D-x%5B1%5D%29%5E2%2B%28y%5B2%5D-y%5B1%5D%29%5E2%29

d = 

d = 

d = sqrt%28%28a%2Asqrt%282%29%29%5E2%2B%28b%2Asqrt%282%29%29%5E2%29

d = sqrt%282a%5E2%2B2b%5E2%29

d = sqrt%282%28a%5E2%2Bb%5E2%29%29

That's it.

Edwin