Question 398171: Hai Sir, please help me on this problem, i got stuck
1)Show that the points (-2,5),(3,-4) and(7,10)are the vertices of a right angled isosceles triangle.
Answer by ewatrrr(24785) (Show Source):
You can put this solution on YOUR website!
Hi,
A(3,-4),B(-2,5), and C(7,10)
A. Show that triangle ABC is an isosceles triangle
A(3,-4),B(-2,5), and C(7,10)
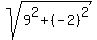
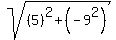
distance AB = = distance AC =
B. Show that triangle ABC is a right triangle
m of AB = 
m of BC = -5/-9 = 5/9
SLOPES negative reciprocals, lines AB and BC perpendicular, ∠ABC = 90°
|
|
|