Question 30440: An isosceles triangle has a perimeter of 8 cm. Find a function that models its area A in terms of the length of its base b.
Answer by longjonsilver(2297) (Show Source):
You can put this solution on YOUR website! Draw an isosceles triangle and drop a perpendicular from the apex to the mid-point of the base, b. You now have 2 right-angled triangles.
Let the height = h
Let both the angled sides of the isosceles triangle be x, so that the perimeter is x+x+b --> 2x+b=8 which means that x=(8-b)/2.
What we need to do is rewrite the x in terms of b, to satisfy the question.
We have 3 things we can use:
1. Pythagoras' Theorem for one of the right-angled triangles
2. Area of a triangle is (1/2)*base*height
3. the relationship 
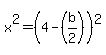
1. In either of the 2 rightangled triangles, we have .
This means that 
-- eqn1
Now, from , we have . So . Therefore
Right, we now have an equation relating x to b. If we substitute this into eqn1, we get:




so that
Right, we now have height in terms of just b.
So, from Area of a triangle is (1/2)*base*height, we get


--> this is the useful line of maths to understand. From here, we get:




I think this is a correct function for the area of the isosceles triangle when the perimeter is 8cm.
Jon.
|
|
|