SOLUTION: It has been done before on this website but the question was wrong: Two identical squares with side of (1+sqrt(2))m overlap to form a regular octagon. What is the area of the oc

Algebra ->  Customizable Word Problem Solvers  -> Geometry -> SOLUTION: It has been done before on this website but the question was wrong: Two identical squares with side of (1+sqrt(2))m overlap to form a regular octagon. What is the area of the oc      Log On

Ad: Over 600 Algebra Word Problems at edhelper.com


   



Question 1209920: It has been done before on this website but the question was wrong:
Two identical squares with side of (1+sqrt(2))m overlap to form a regular octagon. What is the area of the octagon?

Answer by greenestamps(13326) About Me  (Show Source):
You can put this solution on YOUR website!


When the two squares overlap to form a regular octagon, the regions inside the squares and outside the octagon are eight isosceles right triangles.

Let x be the side length of each of those triangles; then x*sqrt(2) is the length of the hypotenuse, which is the side length of the octagon.

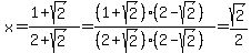
The side length of each square is then 2x+x*sqrt(2). Since the side length of the square is 1+sqrt(2),

2x%2Bx%2Asqrt%282%29=1%2Bsqrt%282%29

x%282%2Bsqrt%282%29%29=1%2Bsqrt%282%29



The side length of the octagon, x*sqrt(2), is then

%28sqrt%282%29%2F2%29%28sqrt%282%29%29=1

The area of a regular octagon with side length s is

A=2s%5E2%281%2Bsqrt%282%29%29

The side length of our octagon is 1, so the area is

ANSWER: 2%281%2Bsqrt%282%29%29