SOLUTION: A circle of radius 6 cm is inscribed in a square. A smaller circle is drawn tangent to the two sides of the square and the bigger circle. What is the radius of the smaller circle?

Algebra ->  Customizable Word Problem Solvers  -> Geometry -> SOLUTION: A circle of radius 6 cm is inscribed in a square. A smaller circle is drawn tangent to the two sides of the square and the bigger circle. What is the radius of the smaller circle?       Log On

Ad: Over 600 Algebra Word Problems at edhelper.com


   



Question 1146409: A circle of radius 6 cm is inscribed in a square. A smaller circle is drawn tangent to the two sides of the square and the bigger circle. What is the radius of the smaller circle?
Found 2 solutions by ankor@dixie-net.com, greenestamps:
Answer by ankor@dixie-net.com(22740) About Me  (Show Source):
You can put this solution on YOUR website!
A circle of radius 6 cm is inscribed in a square.
A smaller circle is drawn tangent to the two sides of the square and the bigger circle.
What is the radius of the smaller circle?
:
I assume this smaller circle is in the corner of the square
The side of the square is equal to the diameter of circle or 12 cm
Find the diagonal of the square (which passes through smaller circle)
d = sqrt%282%2812%5E2%29%29
d = 12sqrt%282%29
the diameter of the smaller circle is equal to half the diagonal - the radius of the larger circle
6sqrt%282%29+-+6 = 2.485 cm
radius of the smaller circle then is 2.485%2F2 = 1.2425 cm

Answer by greenestamps(13219) About Me  (Show Source):
You can put this solution on YOUR website!


The solution from tutor @ankor is faulty.

He states that the diameter of the smaller circle is equal to half the diagonal of the square minus the radius of the large circle. That is not true; there is a piece of the diagonal of the square between the small circle and the corner of the square.

Here is my solution to the problem, copied from a response I made earlier to the same question.

---------------------------------------------------------------


Draw the figure as described.

Draw 3 radii of the smaller circle -- perpendicular to the two sides of the square, and to the point of tangency of the two circles.

Calling r the radius of the small circle, the distance from the center of the large circle to the corner of the square is

6%2Br%2Br%2Asqrt%282%29

But that distance is 6%2Asqrt%282%29

So

6%2Br%2Br%2Asqrt%282%29+=+6%2Asqrt%282%29
6%2Br%281%2Bsqrt%282%29%29+=+6%2Asqrt%282%29
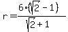
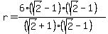
r%281%2Bsqrt%282%29%29+=+6%2Asqrt%282%29-6+=+6%28sqrt%282%29-1%29
r+=+%286%28sqrt%282%29-1%29%29%2F%28sqrt%282%29%2B1%29

r+=+6%283-2%2Asqrt%282%29%29%2F%282-1%29
r+=+6%283-2%2Asqrt%282%29%29