SOLUTION: At a resort, tourists watch swimmers dive from a cliff to the water 144 feet below. A diver's height h above the water t seconds after diving is given by h = −16t2 + 144. H

Algebra ->  Customizable Word Problem Solvers  -> Geometry -> SOLUTION: At a resort, tourists watch swimmers dive from a cliff to the water 144 feet below. A diver's height h above the water t seconds after diving is given by h = −16t2 + 144. H      Log On

Ad: Over 600 Algebra Word Problems at edhelper.com


   



Question 1128422: At a resort, tourists watch swimmers dive from a cliff to the water 144 feet below. A diver's height h above the water t seconds after diving is given by
h = −16t2 + 144. How long does a dive last?

Answer by ankor@dixie-net.com(22740) About Me  (Show Source):
You can put this solution on YOUR website!
At a resort, tourists watch swimmers dive from a cliff to the water 144 feet below.
A diver's height h above the water t seconds after diving is given by
h = −16t2 + 144.
How long does a dive last?
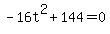
height of the water is 0
-16t%5E2+%2B+144+=+0
-16t%5E2+=+-144+
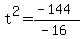
t%5E2+=+%28-144%29%2F%28-16%29
t%5E2+=+%2B9
t = sqrt%289%29
t = 3 seconds