SOLUTION: An open box is formed from a rectangular piece of cardboard whose length is 8 cm more than its width by cutting squares whose sides are 2 cm in length from each corner and then fol

Algebra ->  Customizable Word Problem Solvers  -> Geometry -> SOLUTION: An open box is formed from a rectangular piece of cardboard whose length is 8 cm more than its width by cutting squares whose sides are 2 cm in length from each corner and then fol      Log On

Ad: Over 600 Algebra Word Problems at edhelper.com


   



Question 1127949: An open box is formed from a rectangular piece of cardboard whose length is 8 cm more than its width by cutting squares whose sides are 2 cm in length from each corner and then folding up the sides. Find the dimensions of the box if its volume is
96 cm3.

Answer by josgarithmetic(39618) About Me  (Show Source):
You can put this solution on YOUR website!
Cardboard dimensions before cut and fold:
x+8 and x

Volume of the box formed:
2%28x-2%2A2%29%28%28x%2B8%29-2%2A2%29=96

Simplify and solve the volume equation and evaluate x-4 and x+4.
Note that the height will be 2 cm.

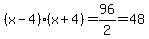
%28x-4%29%28x%2B4%29=96%2F2=48

Notice the two binomial factors differ by 8.
48=4%2A12

Dimensions of box are width 4 cm and length 12 cm.