Question 1029849: A dump truck has a 15ft bed. What is the height of the bed when the angle of elevation is 30 degrees, 45 degrees, and 60 degrees? Answer by Fombitz(32388) (Show Source):
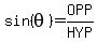
You can put this solution on YOUR website! The bed is the hypotenuse of a right triangle.
The side opposite the angle of elevation is the height.
Substitute for the other two angles to get the two heights.