SOLUTION: A Norman window has the shape of a rectangle surmounted by a semicircle. If the perimeter of the window is 21 feet, express the area A of the window as a function of the width x (a

Algebra ->  Customizable Word Problem Solvers  -> Geometry -> SOLUTION: A Norman window has the shape of a rectangle surmounted by a semicircle. If the perimeter of the window is 21 feet, express the area A of the window as a function of the width x (a      Log On

Ad: Over 600 Algebra Word Problems at edhelper.com


   



Question 1013807: A Norman window has the shape of a rectangle surmounted by a semicircle. If the perimeter of the window is 21 feet, express the area A of the window as a function of the width x (across the base) of the window.
Answer by josmiceli(19441) About Me  (Show Source):
You can put this solution on YOUR website!
First find the perimeter of just
the semi-circular top of the window
+P%5B1%5D+=+%281%2F2%29%2A2%2Api%2A%28x%2F2%29+ ( half of the perimeter of the circle )
+P%5B1%5D+=+pi%2A%28x%2F2%29+
------------------
Now subtract this result from +21+ ft
+21+-+pi%2A%28x%2F2%29+
This result is twice the length of the rectangle
plus the width.
Let +y+ = the length of the rectangle
+21+-+pi%2A%28x%2F2%29+=+2y+%2B+x+
+2y+=+21+-+pi%2A%28x%2F2%29+-+x+
+y+=+21%2F2+-+pi%2A%28+x%2F4+%29+-+x%2F2+
+y+=+21%2F2+-+pi%2A%28+x%2F4+%29+-+%282x%29%2F4+
+y+=+21%2F2+-+%28+pi+%2B+2+%29%2Ax%2F4+
-------------------------
The area of the rectangular part is:
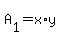
+A%5B1%5D+=+x%2Ay+
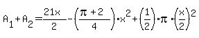
+A%5B1%5D+=+%28+21x+%29%2F2+-+%28%28+pi+%2B+2+%29%2F4+%29%2Ax%5E2+
The area of the semi-circle is:
+A%5B2%5D+=+%281%2F2%29%2Api%2A%28+x%2F2+%29%5E2+



+A%5B1%5D+%2B+A%5B2%5D+=+%28+21x+%29%2F2+-+%281%2F8%29%2A%28+pi+%2B+4+%29%2Ax%5E2+
Hope I got it!