This Lesson (A partially filled cylindrical tank changes position from horizontal to vertical) was created by by ikleyn(53618)  : View Source, ShowAbout ikleyn:
A partially filled cylindrical tank changes position from horizontal to vertical
Problem 1A closed cylindrical tank is 8 feet long and 3 feet in diameter.
When lying in a horizontal position, the water is 2 feet deep.
If the tank is the vertical position, find the depth of water in the tank.
Solution
The formula for the volume of water in horizontal cylindrical tank is
V = , (1)
where 'r' is the radius of the cylindrical tank and 'h' is the depth of water; L is the length of the cylinder.
This formula represents the product of the length of the container by the area of the cross-section
of the tank, occupied by water.
Notice that in this problem the depth 'h' of 2 feet is greater than the radius of the tank, which is 1.5 ft.
So, the horizontal axis of the container is BELOW the water level.
Nevertheless, the formula works in this case too, without change.
Indeed, when h > r, the first term represents the area of the major sector of the circle,
while the second term represents the area of the triangle, which complement the sector to the major segment.
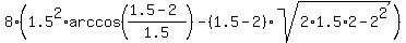
So, we are ready to calculate. Insert the numbers instead of symbols
V = . (2)
We have = = 1.910633 radians,
= = -0.707107.
so we can continue formula (2) this way
V = = 40.04825 ft^3.
Now, to get the height of the water in vertical cylinder, we should divide this volume
by the area of the base = = 7.0685775.
Thus we find
the height of the water in vertical container = = 5.665673185
or about 5.666 ft.
ANSWER. The height of the water in vertical container is about 5.666 ft.
My other additional lessons on miscellaneous Geometry problems in this site are
- Find the rate of moving of the tip of a shadow
- A radio transmitter accessibility area
- Miscellaneous geometric problems
- Miscellaneous problems on parallelograms
- Remarkable properties of triangles into which diagonals divide a quadrilateral
- A square divided into three equal areas by two parallel lines
- A trapezoid divided in four triangles by its diagonals
- A problem on a regular heptagon
- The area of a regular octagon
- The fraction of the area of a regular octagon
- A problem on equiangular but not equilateral octagon
- Try to solve these nice Geometry problems !
- Find the angle between sides of folded triangle
- A problem on three spheres
- A sphere placed in an inverted cone
- An upper level Geometry problem on special (15°,30°,135°)-triangle
- A cylindrical glass filled with water and then tilted to a horizon
- A great Math Olympiad level Geometry problem
- Nice geometry problem of a Math Olympiad level
- OVERVIEW of my additional lessons on miscellaneous advanced Geometry problems
To navigate over all topics/lessons of the Online Geometry Textbook use this file/link GEOMETRY - YOUR ONLINE TEXTBOOK.
This lesson has been accessed 176 times.
|