SOLUTION: $5000 is invested at 6%. How much more invested at 9.5% will give a total annual interest equivalent to 7%?

Algebra ->  Customizable Word Problem Solvers  -> Finance -> SOLUTION: $5000 is invested at 6%. How much more invested at 9.5% will give a total annual interest equivalent to 7%?      Log On

Ad: Over 600 Algebra Word Problems at edhelper.com


   



Question 990629: $5000 is invested at 6%. How much more invested at 9.5% will give a total annual interest equivalent to 7%?
Answer by anand429(138) About Me  (Show Source):
You can put this solution on YOUR website!
Let investment at 9.5% = x,
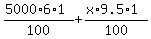
Total return = %285000%2A6%2A1%29%2F100+%2B+%28x%2A9.5%2A1%29%2F100
= %2830000+%2B+9.5x%29%2F100 -----------------------(i)
Now for equivalent interest of 7%
Interest will be %28%285000%2Bx%29%2A7%2A1%29%2F100 --------(ii)
Equating (i) and (ii),
%2830000+%2B+9.5x%29+=+%285000%2Bx%29%2A7%2A1
30000+%2B+9.5x+=+35000+%2B+7x
=> x+=+5000%2F2.5
=> x+=+2000