SOLUTION: john invested $2,975 at 4% interest compounded annually. what will be the balance after 2.5 years.

Algebra ->  Customizable Word Problem Solvers  -> Finance -> SOLUTION: john invested $2,975 at 4% interest compounded annually. what will be the balance after 2.5 years.      Log On

Ad: Over 600 Algebra Word Problems at edhelper.com


   



Question 958189: john invested $2,975 at 4% interest compounded annually. what will be the balance after 2.5 years.
Answer by josmiceli(19441) About Me  (Show Source):
You can put this solution on YOUR website!
+A+=+P%2A%28+1+%2B+r%2Fn+%29%5E%28n%2At%29+
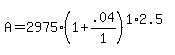
+A+=+2975%2A%28+1+%2B+.04%2F1+%29%5E%28+1%2A2.5+%29+
+A+=+2975%2A1.04%5E2.5+
+A+=+2975%2A1.10302+
+A+=+3281.48+
-------------------
The balance will be $3,281.48