SOLUTION: If $1000 is invested at 4% interest, find the value of the investment at the end of 9 years if the interest is compounded as follows. annually?

Algebra ->  Customizable Word Problem Solvers  -> Finance -> SOLUTION: If $1000 is invested at 4% interest, find the value of the investment at the end of 9 years if the interest is compounded as follows. annually?      Log On

Ad: Over 600 Algebra Word Problems at edhelper.com


   



Question 954978: If $1000 is invested at 4% interest, find the value of the investment at the end of 9 years if the interest is compounded as follows.
annually?

Answer by carmela(3) About Me  (Show Source):
You can put this solution on YOUR website!
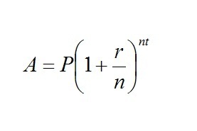
Use the formula below

where
A=Final Value
P=Principal Amount
r=interest rate in decimal
n=number of compounding per year
t=total number of years
Note:
If interest is compounded yearly, then n = 1; if semi-annually, then n = 2; quarterly, then n = 4; monthly, then n = 12; weekly, then n = 52; daily, then n = 365;
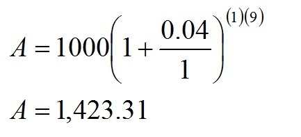
Given:
P=$1000
r=4% = 0.04
n=1
t=9
Substitute the given to the formula

Therefore,value of the investment at the end of 9 years is $1,423.31
You can visit my site http://provingcams.com/