SOLUTION: How long does it take a $1000 investment to earn $100 interest if it is invested at 4% interest compounded quarterly? Use the formula : A = P(1+r/n)^(n)(t)

Algebra ->  Customizable Word Problem Solvers  -> Finance -> SOLUTION: How long does it take a $1000 investment to earn $100 interest if it is invested at 4% interest compounded quarterly? Use the formula : A = P(1+r/n)^(n)(t)      Log On

Ad: Over 600 Algebra Word Problems at edhelper.com


   



Question 945779: How long does it take a $1000 investment to earn $100 interest if it is invested at 4% interest compounded quarterly?
Use the formula : A = P(1+r/n)^(n)(t)

Answer by josmiceli(19441) About Me  (Show Source):
You can put this solution on YOUR website!
+A+ is the amount you end up with
after time +t+
+A+=+1000+%2B+100+=+1100+
+P+ = amount you started out with
+P+=+1000+
+n+=+4+ because of compounding
quarterly
+r+=+.04+ is a 4% interest rate
----------------------------------
+1100+=+1000%2A%28+1+%2B+.04%2F4+%29%5E%284t%29+
+1100+=+1000%2A%28+1.01%29%5E%284t%29+
Divide both sides by +1000+
+1.1+=+%28+1.01+%29%5E%284t%29+
Take the log base +10+ of both sides
+log%28%28+1.1+%29%29+=+log%28%28+1.01%5E%284t%29+%29%29+
+log%28%28+1.1+%29%29+=+4t%2Alog%28%28+1.01+%29%29+
+4t+=+log%28%28+1.1%29%29+%2F+log%28%28+1.01+%29%29+
+t+=+log%28%28+1.1+%29%29+%2F+%28+4%2Alog%28%28+1.01+%29+%29%29+
+t+=+.041393+%2F+%28+4%2A.00432137+%29+
+t+=+.041393+%2F+.0172855+
+t+=+2.394666+
2.394666 years
-------------
check:
+1100+=+1000%2A%28+1+%2B+.04%2F4+%29%5E%284t%29+
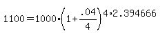
+1100+=+1000%2A%28+1+%2B+.04%2F4+%29%5E%284%2A2.394666%29+
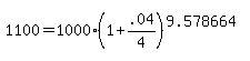
+1100+=+1000%2A%28+1+%2B+.04%2F4+%29%5E%289.578664%29+
+1.1+=+1.01%5E9.578664+
+1.1+=+1.1000008+
close enough