SOLUTION: Find the interest, I, and the total amount, A, for 825 invested for 10 years at 4% APR, compounded annually.
Algebra
->
Customizable Word Problem Solvers
->
Finance
-> SOLUTION: Find the interest, I, and the total amount, A, for 825 invested for 10 years at 4% APR, compounded annually.
Log On
Ad:
Over 600 Algebra Word Problems at edhelper.com
Word Problems: Money, Business and Interest
Word
Solvers
Solvers
Lessons
Lessons
Answers archive
Answers
Click here to see ALL problems on Money Word Problems
Question 942723
:
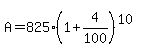
Find the interest, I, and the total amount, A, for 825 invested for 10 years at 4% APR, compounded annually.
Answer by
Fombitz(32388)
(
Show Source
):
You can
put this solution on YOUR website!
I'm assuming you mean 1 deposit of $825 and not $825 every year for 10 years,
So then,