SOLUTION: In 1980 the average price of a home in Brainerd County was $90,000. By 1987 the average price of a home was $125,000. Write a linear model for the price of a home, P, in Brainerd C

Algebra ->  Customizable Word Problem Solvers  -> Finance -> SOLUTION: In 1980 the average price of a home in Brainerd County was $90,000. By 1987 the average price of a home was $125,000. Write a linear model for the price of a home, P, in Brainerd C      Log On

Ad: Over 600 Algebra Word Problems at edhelper.com


   



Question 934299: In 1980 the average price of a home in Brainerd County was $90,000. By 1987 the average price of a home was $125,000. Write a linear model for the price of a home, P, in Brainerd County as a function of the year, t. Let t = 0 correspond to 1980.
Answer by josmiceli(19441) About Me  (Show Source):
You can put this solution on YOUR website!
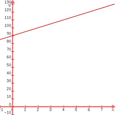
Plot ( t,P )
Use the general point-slope formula
with +P+ in thousands of dollars
+%28+P+-+90+%29+%2F+%28+t+-+0+%29+=+%28+125+-+90+%29+%2F+%28+7+-+0+%29+
+%28+P+-+90+%29+%2F+t+=+35+%2F+7+
Multiply both sides by +7t+
+7%2A%28+P+-+90+%29+=+35t+
+7P+-+630+=+35t+
+7P+=+35t+%2B+630+
+P+=+5t+%2B+90+
-----------------
check:
does it go through ( 0,90 ) ?
+90+=+5%2A0+%2B+90+
+90+=+90+
OK
dos it go through ( 7,125 ) ?
+125+=+5%2A7+%2B+90+
+125+=+125+
OK
----------------
Heres the plot:
+graph%28+400%2C+400%2C+-1%2C+8%2C+-10%2C+135%2C+5x+%2B+90+%29+