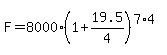
SOLUTION: Bill borrowed $8000 at a rate of 19.5% , compounded quarterly. Assuming he makes no payments, how much will he owe after 7 years?
Algebra
->
Customizable Word Problem Solvers
->
Finance
-> SOLUTION: Bill borrowed $8000 at a rate of 19.5% , compounded quarterly. Assuming he makes no payments, how much will he owe after 7 years?
Log On
Ad:
Over 600 Algebra Word Problems at edhelper.com
Word Problems: Money, Business and Interest
Word
Solvers
Solvers
Lessons
Lessons
Answers archive
Answers
Click here to see ALL problems on Money Word Problems
Question 933349
:
Bill borrowed $8000 at a rate of 19.5% , compounded quarterly. Assuming he makes no payments, how much will he owe after 7 years?
Answer by
Fombitz(32388)
(
Show Source
):
You can
put this solution on YOUR website!