SOLUTION: what annual rate compounded semi-annually is equivalent to an effective rate of 5%?
Algebra
->
Customizable Word Problem Solvers
->
Finance
-> SOLUTION: what annual rate compounded semi-annually is equivalent to an effective rate of 5%?
Log On
Ad:
Over 600 Algebra Word Problems at edhelper.com
Word Problems: Money, Business and Interest
Word
Solvers
Solvers
Lessons
Lessons
Answers archive
Answers
Click here to see ALL problems on Money Word Problems
Question 916743
:
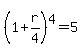
what annual rate compounded semi-annually is equivalent to an effective rate of 5%?
Answer by
ewatrrr(24785)
(
Show Source
):
You can
put this solution on YOUR website!
r =
= .049 rounded 0r 4.9%