SOLUTION: Find the amount erica owes at the end of 6 years if $6000 is loaned to her at a rate of 7% compounded monthly. Use A = P(1 + r/n)^nt
Algebra
->
Customizable Word Problem Solvers
->
Finance
-> SOLUTION: Find the amount erica owes at the end of 6 years if $6000 is loaned to her at a rate of 7% compounded monthly. Use A = P(1 + r/n)^nt
Log On
Ad:
Over 600 Algebra Word Problems at edhelper.com
Word Problems: Money, Business and Interest
Word
Solvers
Solvers
Lessons
Lessons
Answers archive
Answers
Click here to see ALL problems on Money Word Problems
Question 872920
:
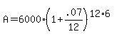
Find the amount erica owes at the end of 6 years if $6000 is loaned to her at a rate of 7% compounded monthly.
Use A = P(1 + r/n)^nt
Answer by
ewatrrr(24785)
(
Show Source
):
You can
put this solution on YOUR website!