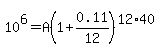
SOLUTION: YOU WANT TO BE A MILLIONAIRE WHEN YOU RETIRE IN 40 YEARS TIME. HOW MUCH DO YOU HAVE TO SAVE EACH MONTH IF YOU CAN EARN 11% ANNUAL RETURN?
Algebra
->
Customizable Word Problem Solvers
->
Finance
-> SOLUTION: YOU WANT TO BE A MILLIONAIRE WHEN YOU RETIRE IN 40 YEARS TIME. HOW MUCH DO YOU HAVE TO SAVE EACH MONTH IF YOU CAN EARN 11% ANNUAL RETURN?
Log On
Ad:
Over 600 Algebra Word Problems at edhelper.com
Word Problems: Money, Business and Interest
Word
Solvers
Solvers
Lessons
Lessons
Answers archive
Answers
Click here to see ALL problems on Money Word Problems
Question 863213
:
YOU WANT TO BE A MILLIONAIRE WHEN YOU RETIRE IN 40 YEARS TIME. HOW MUCH DO YOU HAVE TO SAVE EACH MONTH IF YOU CAN EARN 11% ANNUAL RETURN?
Answer by
tommyt3rd(5050)
(
Show Source
):
You can
put this solution on YOUR website!
A=$12,525.91 each month