SOLUTION: Find the interest rate to the nearest hundredth of a percentage that will produce $3000.00, if $2500.00 is left at interest rate compounded semiannually for 4.5 years. Thank you so

Algebra ->  Customizable Word Problem Solvers  -> Finance -> SOLUTION: Find the interest rate to the nearest hundredth of a percentage that will produce $3000.00, if $2500.00 is left at interest rate compounded semiannually for 4.5 years. Thank you so      Log On

Ad: Over 600 Algebra Word Problems at edhelper.com


   



Question 860667: Find the interest rate to the nearest hundredth of a percentage that will produce $3000.00, if $2500.00 is left at interest rate compounded semiannually for 4.5 years. Thank you so much.
Answer by ewatrrr(24785) About Me  (Show Source):
You can put this solution on YOUR website!
 
Hi,
In General A%28t%29+=+P%281%2Br%2Fn%29%5E%28nt%29
A = Accumulated Amount
P= principal =
r= annual rate = .
n= periods per year =
t= years =
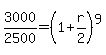
3000%2F2500+=+%281%2B+r%2F2%29%5E9
root%289%2C+6%2F5%29+=+1+%2B+r%2F2
1.0205 = 1 + r/2
.0205 = r
.0410 = r, r = 4.1%