SOLUTION: Find the effective rate of 8.5% compounded semiannually A. 9.25% B 8.68% C. 6.35% D. 4.25%

Algebra ->  Customizable Word Problem Solvers  -> Finance -> SOLUTION: Find the effective rate of 8.5% compounded semiannually A. 9.25% B 8.68% C. 6.35% D. 4.25%      Log On

Ad: Over 600 Algebra Word Problems at edhelper.com


   



Question 84977: Find the effective rate of 8.5% compounded semiannually

A. 9.25%
B 8.68%
C. 6.35%
D. 4.25%

Answer by josmiceli(19441) About Me  (Show Source):
You can put this solution on YOUR website!
The formula for compound interest is
A+=+P%281+%2B+%28r%2Fn%29%29%5E%28nt%29
P = original investment
r = annual interest rate
t = number of years
n = number of times per year interest is compounded
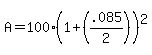
Use $100 for the original investment and t = 1 year
A+=+100%281+%2B+%28.085%2F2%29%29%5E2
A+=+100%281.0425%292
A+=+100%281.0868%29
Since the formula for simple interest is
A+=+P%281+%2B+r%2At%29
A+=+100%281+%2B+.0868%29
r = .0868, or the simple interest rate is 8.68%