SOLUTION: A manufacturer produces a product at a cost of $29.80 per unit. The manufacturer has a fixed cost of $200.00 per day. Each unit retails for $34.00. Let x represent the number of un

Algebra ->  Customizable Word Problem Solvers  -> Finance -> SOLUTION: A manufacturer produces a product at a cost of $29.80 per unit. The manufacturer has a fixed cost of $200.00 per day. Each unit retails for $34.00. Let x represent the number of un      Log On

Ad: Over 600 Algebra Word Problems at edhelper.com


   



Question 623556: A manufacturer produces a product at a cost of $29.80 per unit. The manufacturer has a fixed cost of $200.00 per day. Each unit retails for $34.00. Let x represent the number of units produced in a 5-day period.
(a) Write the total cost C as a function of x
C(x) = ?
(b) Write the revenue R as a function of x
R(x) = ?
(c) Write the profit P as a function of x. (Hint: The profit function is given by by P(x) = R(x) − C(x).)
P(x) = ?

Answer by Theo(13342) About Me  (Show Source):
You can put this solution on YOUR website!
x = number of units produced.
cost per unit = 29.8
revenue per unit = 34
fixed cost = 200
C = Total Cost
R = Total Revenue
C = 200 + 29.8*x
R = 34*x
P = R - C
P = 34*x - 29.8*x - 200
P = 4.2*x - 200
You don't get a profit until P is greater than or equal to 0.
You can graph these equations.
Revenue equation would be y = 34*x
Cost equation would be y = 29.8*x + 200
Profit equation would be y = 4.2*x - 200
Each will be graphed separately below:
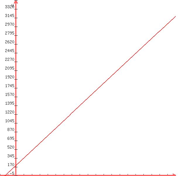
cost equation is:
graph%28600%2C600%2C-10%2C100%2C-5%2C3500%2C200%2B29.8%2Ax%29
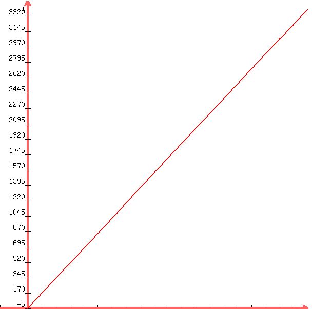
revenue equation is:
graph%28600%2C600%2C-10%2C100%2C-5%2C3500%2C34%2Ax%29
profit equation is:
graph%28600%2C600%2C-10%2C100%2C-205%2C350%2C4.2%2Ax-200%29
the graphs suggest a break even point at somewhere betweeen 45 and 50.
calculation of the break even point is shown below:
this is the point where the revenue equals the cost.
you get R = C which becomes:
34*x = 29.8*x + 200
subtract 29.8*x from both sides of this equation to get:
34*x - 29.8*x = 200
simplify to get:
4.20 * x = 200
divide both sides by 4.20 to get:
x = 200 / 4.2 = 47.61904762
that's your break even point.
this happens when revenue is equal to 34 * 47.61904762 = 1619.047619.
this happens when cost is equal to 29.8 * 47.61904762 + 200 = 1619.047619.
that actual break even point is easier to see if you graph the revenue and cost equations together as shown below:
graph%28600%2C600%2C-10%2C100%2C-5%2C3500%2C200%2B29.8%2Ax%2C34%2Ax%2C1619.04%29
a horizontal line at 1619.04 assists you.