SOLUTION: if 5000 dollars is invested at 4% apr with interest compounded semiannually how long before the money doubles?

Algebra ->  Customizable Word Problem Solvers  -> Finance -> SOLUTION: if 5000 dollars is invested at 4% apr with interest compounded semiannually how long before the money doubles?      Log On

Ad: Over 600 Algebra Word Problems at edhelper.com


   



Question 606651: if 5000 dollars is invested at 4% apr with interest compounded semiannually how long before the money doubles?
Answer by ewatrrr(24785) About Me  (Show Source):
You can put this solution on YOUR website!
 
Hi,
5000 dollars is invested at 4% apr with interest compounded semiannually
how long before the money doubles?
Note: In General: A+=+P%281%2Br%2Fm%29%5Emt
A = Accumulated Amount
P= principal
r= annual rate = .04
m= periods per year = 2
t= years
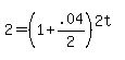
A%2FP+=%281%2Br%2Fm%29%5Emt
A/P = 2 (doubling the money)
2=%281%2B.04%2F2%29%5E%282t%29
ln%282%29+%2F2ln%281.02%29+=+t
t = 17.5 yrs