SOLUTION: The outstanding balance on a particular charge card totalled $174 billion in 1996 and $334 billion in 2000. Estimate the debt in 1998.
Algebra
->
Customizable Word Problem Solvers
->
Finance
-> SOLUTION: The outstanding balance on a particular charge card totalled $174 billion in 1996 and $334 billion in 2000. Estimate the debt in 1998.
Log On
Ad:
Over 600 Algebra Word Problems at edhelper.com
Word Problems: Money, Business and Interest
Word
Solvers
Solvers
Lessons
Lessons
Answers archive
Answers
Click here to see ALL problems on Money Word Problems
Question 571971
:
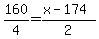
The outstanding balance on a particular charge card totalled $174 billion in 1996 and $334 billion in 2000. Estimate the debt in 1998.
Answer by
josmiceli(19441)
(
Show Source
):
You can
put this solution on YOUR website!
The debt in 1998 is about $254 billion