SOLUTION: One solution contains 10% alcohol while another contains 30% alcohol. How many liters of each should be mixed to give 10 L of a solution which is 25% alcohol?

Algebra ->  Customizable Word Problem Solvers  -> Finance -> SOLUTION: One solution contains 10% alcohol while another contains 30% alcohol. How many liters of each should be mixed to give 10 L of a solution which is 25% alcohol?      Log On

Ad: Over 600 Algebra Word Problems at edhelper.com


   



Question 53186: One solution contains 10% alcohol while another contains 30% alcohol. How many liters of each should be mixed to give 10 L of a solution which is 25% alcohol?
Found 2 solutions by ankor@dixie-net.com, Nate:
Answer by ankor@dixie-net.com(22740) About Me  (Show Source):
You can put this solution on YOUR website!
One solution contains 10% alcohol while another contains 30% alcohol. How many liters of each should be mixed to give 10 L of a solution which is 25% alcohol?
:
We know that the two mixture amts add up to 10L;
:
Let x = 10% amt; then (10-x) = 30% amt
:
Write a percent equation:
:
.10x + .30(10-x) = .25(10)
:
.10x + 3.0 - .3x = 2.5
:
.1x - .3x = 2.5 - 3.0
:
-.2x = -.5
:
x = -.5/-.2
:
x = + 2.5 liters of 10% mixture
:
10 - 2.5 = 7.5 liters of the 30% mixture
:
:
Check our solutions:
.10(2.5) + .30(7.5) = .25(10)
.25 + 2.25 = 2.5

Answer by Nate(3500) About Me  (Show Source):
You can put this solution on YOUR website!
When you do these, think about this:
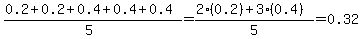
You have 2L 20% acid solution and 3L 40% acid solution, what is the total percentage of acid? Hint: use the mean.

You would multiply amount of Liters by the acid quality and divide by the total amount of Liters to get a 32% acid solution. Put more simply, you are finding the MEAN.
Now, let me answer your question.
x = the amount of Liters of 10% alcohol solution
10 - x = the amount of Liters of 30% alcohol solution
%28x%280.1%29+%2B+%2810+-+x%29%280.3%29%29%2F10+=+0.25
0.1x+%2B+3+-+0.3x+=+2.5
-0.2x+=+-0.5
x+=+2.5
10 - 2.5 = 7.5
2.5L of 10%
7.5L of 30%