SOLUTION: final amount of the investment if $8000 invested at 6% compounded quarterly for 6 years

Algebra ->  Customizable Word Problem Solvers  -> Finance -> SOLUTION: final amount of the investment if $8000 invested at 6% compounded quarterly for 6 years      Log On

Ad: Over 600 Algebra Word Problems at edhelper.com


   



Question 432879: final amount of the investment if $8000 invested at 6% compounded quarterly for 6 years
Found 2 solutions by mananth, ikleyn:
Answer by mananth(16949) About Me  (Show Source):
You can put this solution on YOUR website!
Principal P = 8000
Amount= A
years=n 6
compounded 4 times a year
Rate = 6.00 0.02
Amount =P*((n+r)/n)^n

Amount =8000*(1+0.02)^6*4
Amount =8000*(1 +0.02)^24
8000*(1.02)^24
Amount =$11436.02


Answer by ikleyn(53742) About Me  (Show Source):
You can put this solution on YOUR website!
.
final amount of the investment if $8000 invested at 6% compounded quarterly for 6 years
~~~~~~~~~~~~~~~~~~~~~~~~~


        The answer in the post by @mananth is correct,  but his intermediate formulas are wrong.
        Wrong formulas in his post can confuse a reader.

        To avoid confusing,  I place my solution here in the form as it  SHOULD  be presented.


Principal P =	8000																		

years=n	6									

compounded 4	times a year								

Rate =	6%	which means that the effective rate is  0.06%2F4  per quarter.


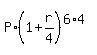
Future value = P%2A%281%2Br%2F4%29%5E%286%2A4%29									
										
Amount = 8000%2A%281%2B0.06%2F4%29%5E24 = 11436.02  dollars.


ANSWER.  Future value in 6 years is  $11436.02.

Solved and presented correctly.

----------------------

Again, I placed this my solution here to OVERLAY wrong formulas in the post by @mananth.