SOLUTION: What rate of interest, to the nearest tenth of a %, compounded annually is needed for an investment of $200 to grow to $350 in 5 years? Thank you in advance for helping me set th

Algebra ->  Customizable Word Problem Solvers  -> Finance -> SOLUTION: What rate of interest, to the nearest tenth of a %, compounded annually is needed for an investment of $200 to grow to $350 in 5 years? Thank you in advance for helping me set th      Log On

Ad: Over 600 Algebra Word Problems at edhelper.com


   



Question 177262This question is from textbook college algebras
: What rate of interest, to the nearest tenth of a %, compounded annually is needed for an investment of $200 to grow to $350 in 5 years?
Thank you in advance for helping me set this up and compute the answer.
This question is from textbook college algebras

Answer by jim_thompson5910(35256) About Me  (Show Source):
You can put this solution on YOUR website!
A=P%281%2Br%2Fn%29%5E%28nt%29 Start with the compound interest formula where A is the return, P is the principal (the amount invested), r is the interest rate, n is the compound frequency, and t is the time (in years)


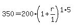
350=200%281%2Br%2F1%29%5E%281%2A5%29 Plug in A=350, p=200, n=1, and t=5


350=200%281%2Br%2F1%29%5E5 Multiply


350=200%281%2Br%29%5E5 Reduce


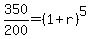
350%2F200=%281%2Br%29%5E5 Divide both sides by 200.


1.75=%281%2Br%29%5E5 Divide.


root%285%2C1.75%29=1%2Br Take the 5th root of both sides.


1.1184=1%2Br Take the 5th root of 1.75 to get 1.118 (this is approximate)


1.1184-1=r Subtract 1 from both sides.


0.1184=r Combine like terms.


So the answer is r=0.1184 which is roughly 11.84%


So the interest rate needed is about 11.84%