SOLUTION: 1. Peter has 1,000.00 pesos time deposit which earn 14% in a year. After 3 years Peter withdraws all the accumulated amount and divided the money to another personal business. Six

Algebra ->  Customizable Word Problem Solvers  -> Finance -> SOLUTION: 1. Peter has 1,000.00 pesos time deposit which earn 14% in a year. After 3 years Peter withdraws all the accumulated amount and divided the money to another personal business. Six      Log On

Ad: Over 600 Algebra Word Problems at edhelper.com


   



Question 162722: 1. Peter has 1,000.00 pesos time deposit which earn 14% in a year. After 3 years Peter withdraws all the accumulated amount and divided the money to another personal business. Sixty percent of the money is used for lending venture which would earn 7% per month and the remaining amount is invested in another lending plan which will earn 5% a month. After two years, what will be the total accumulated money Peter has?
Answer by jojo14344(1513) About Me  (Show Source):
You can put this solution on YOUR website!

Money after 3 years:
F=P%281%2Bi%29%5En, working eqn
F=1000%281%2B0.14%29%5E3
F=1481.544
Sixty percent: 1481.544%2A0.60=888.9264, for lending venture
Remaning: 1481.544-888.9264=592.6176, for lending plan
After 2 years:
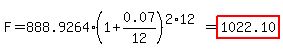
For lending venture that earns 7%/month:
Via working eqn,
F=888.9264%281%2B0.07%2F12%29%5E%282%2A12%29=highlight%281022.10%29
Foe lending plan that earns 5%/month:
F=592.6176%281%2B0.05%2F12%29%5E%282%2A12%29=highlight%28654.81%29
Money thereafter:
highlight%281022.10%2B654.81=1676.91%29
Thank you,
Jojo