SOLUTION: How much should be invested at 8% compounded semiannually in order to have $5000 at the end of 8 years? a. $4215.27 b. $9364.91 c. $2669.54 d. $3048.78

Algebra ->  Customizable Word Problem Solvers  -> Finance -> SOLUTION: How much should be invested at 8% compounded semiannually in order to have $5000 at the end of 8 years? a. $4215.27 b. $9364.91 c. $2669.54 d. $3048.78      Log On

Ad: Over 600 Algebra Word Problems at edhelper.com


   



Question 148058: How much should be invested at 8% compounded semiannually in order to have $5000 at the end of 8 years?
a. $4215.27
b. $9364.91
c. $2669.54
d. $3048.78

Answer by vleith(2983) About Me  (Show Source):
You can put this solution on YOUR website!
The future value of money using compound interest is given by:
F+=+P%281%2B%28r%2Fn%29%29%5E%28nt%29
Where
F is the future value
P is the present value
r s the annual interest rate
n is the number of compounding per year
t is the total number of compoundings
This problem asks for the present value (P)of a future sum (F=5000), when the interest is 8%(r=0.08) compounded semi-annually (n=2) for a length of 8 years (t = 8*n = 16).
Solving for P:
F+=+P%281%2B%28r%2Fn%29%29%5E%28nt%29
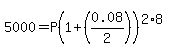
5000+=+P%281%2B%280.08%2F2%29%29%5E%282%2A8%29
5000+=+P%281%2B%280.04%29%29%5E%2816%29
5000+=+P%281.04%29%5E%2816%29
5000%2F%28%281.04%29%5E%2816%29%29+=+P
5000%2F1.872+=+P+
2669.54+%7E=P
The answer is C
Read this for more info -->http://www.purplemath.com/modules/expofcns4.htm