SOLUTION: PLEASE HELP ME WITH THIS QUESTION: THANKS ON JULY 26,2003, THE MINNEAPOLIS STAR TRIBUNE QUOTED AN EXECUTIVE VICE PRESIDENT AT ABN AMRO SAYING THAT 10% DOWN PAYMENTS HAD BECOME

Algebra ->  Customizable Word Problem Solvers  -> Finance -> SOLUTION: PLEASE HELP ME WITH THIS QUESTION: THANKS ON JULY 26,2003, THE MINNEAPOLIS STAR TRIBUNE QUOTED AN EXECUTIVE VICE PRESIDENT AT ABN AMRO SAYING THAT 10% DOWN PAYMENTS HAD BECOME      Log On

Ad: Over 600 Algebra Word Problems at edhelper.com


   



Question 144647This question is from textbook PRACTICAL BUSINESS MATH PROCEDURES
: PLEASE HELP ME WITH THIS QUESTION: THANKS

ON JULY 26,2003, THE MINNEAPOLIS STAR TRIBUNE QUOTED AN EXECUTIVE VICE PRESIDENT AT ABN AMRO SAYING THAT 10% DOWN PAYMENTS HAD BECOME COMMON. FOR MOST CONVENTIONAL LOANS, A DOWN PAYMENT OF LESS THAN 20% MEANS BUYERS MUST PURCHASE PRIVATE MORTGAGE INSURANCE (PMI). DAVE MARVIN WANTS TO AVOID STHE PMI AND HAS $30,000 FOR A DOWN PAYMENT. A LOCAL BANK IS OFFERING 7% ON A FIXED 30 YEAR MORTGAGE. (A)WHAT IS THE MOST DAVE WILL BE ABLE TO PAY FOR A HOME? (B) WHAT WOULD BE HIS MONTLY PAYMENT?
This question is from textbook PRACTICAL BUSINESS MATH PROCEDURES

Answer by solver91311(24713) About Me  (Show Source):
You can put this solution on YOUR website!
Solve 0.20x=30000 to get the maximum total purchase price that Dave can pay without paying PMI.

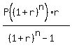
Calculate: %28P%28%281+%2B+r%29%5En%29r%29%2F%28%281+%2B+r%29%5En+-+1%29, where P is the principal amount of the loan (total purchase price minus down payment: 150,000 from the first part of the problem minus 30,000 is 120,000), n is the number of payment periods (monthly payments for 30 years: 30 * 12 = 360), r is the interest rate PER PERIOD (0.07/12=0.00583).

Or save yourself some serious calculator button pushing. Open an Excel worksheet and type in the following: =pmt(.00583,360,120000)
Once you have typed it in, hit enter, you will get the monthly payment as a negative number (negative because it is presumeably coming OUT of your (or Dave's) pocket). Don't forget to remind Dave that this amount is only Principal and Interest -- he is also responsible for property tax and fire insurance.