SOLUTION: If x = (1 + y) (1 + y²) (1 + y³)... (1 + y^n) Find dx/dy (when y = 1)

Algebra ->  Customizable Word Problem Solvers  -> Finance -> SOLUTION: If x = (1 + y) (1 + y²) (1 + y³)... (1 + y^n) Find dx/dy (when y = 1)      Log On

Ad: Over 600 Algebra Word Problems at edhelper.com


   



Question 1200001: If x = (1 + y) (1 + y²) (1 + y³)... (1 + y^n)
Find dx/dy (when y = 1)

Answer by ikleyn(52788) About Me  (Show Source):
You can put this solution on YOUR website!
.
If x = (1 + y) (1 + y²) (1 + y³)... (1 + y^n)
Find dx/dy (when y = 1)
~~~~~~~~~~~~~~~~~~~~~~~~~~~

Apply the formula for the derivative of a product.


You will get that the derivative dx/dy is the sum of n addends.


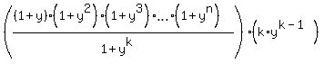
The k-th addend is

    .


At y= 1, the k-th addend is  %28%282%5En%29%2F2%29%2Ak = k%2A2%5E%28n-1%29.


The sum of n these addends is  2%5E%28n-1%29%2A%28%28n%2A%28n%2B1%29%29%2F2%29 = 2%5E%28n-2%29%2An%2A%28n%2B1%29.    ANSWER

Solved.