SOLUTION: solve : tan(x) - csc(x) = 0

Algebra ->  Customizable Word Problem Solvers  -> Finance -> SOLUTION: solve : tan(x) - csc(x) = 0       Log On

Ad: Over 600 Algebra Word Problems at edhelper.com


   



Question 1191357: solve : tan(x) - csc(x) = 0
Answer by MathLover1(20850) About Me  (Show Source):
You can put this solution on YOUR website!

tan%28x%29+-+csc%28x%29+=+0
express with sin%28x%29+and cos%28x%29

sin%28x%29%2Fcos%28x%29+-+1%2Fsin%28x%29+=+0

%28sin%5E2%28x%29+-+cos%28x%29%29%2F%28sin%28x%29cos%28x%29%29+=+0

use the rule: +f+%28x+%29%2Fg+%28x+%29=0 => only if f%28x%29=0

sin%5E2%28x%29+-+cos%28x%29=+0..........use identity sin%5E2%28x%29=1-cos%5E2%28x%29

1-cos%5E2%28x%29-+cos%28x%29=+0+

-cos%5E2%28x%29-+cos%28x%29%2B1=+0 ...........use quadratic formula

cos%28x%29=%28-%28-1%29%2B-sqrt%28%28-1%29%5E2-4%28-1%29%2A1%29%29%2F%282%28-1%29%29

cos%28x%29=%281%2B-sqrt%281%2B4%29%29%2F%28-2%29

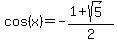
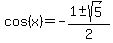
cos%28x%29=-%281%2B-sqrt%285%29%29%2F2

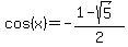
solutions: cos%28x%29=-%281%2Bsqrt%285%29%29%2F2 or cos%28x%29=-%281-sqrt%285%29%29%2F2

cos%28x%29=-%281%2Bsqrt%285%29%29%2F2 =>x=cos%5E-1%28-%281%2Bsqrt%285%29%29%2F2%29 has+no+solution

cos%28x%29=-%281-sqrt%285%29%29%2F2
cos%28x%29=%28sqrt%285%29-1%29%2F2
solutions:
x=cos%5E-1%28%28sqrt%285%29-1%29%2F2%29%2B2pi%2An
or
x=2pi-cos%5E-1%28%28sqrt%285%29-1%29%2F2%29%2B2pi%2An

solutions in decimal form:
in radians
x=0.90455++%2B2pi%2A+n
x=2pi+-0.90455%2B2pi%2A+n

in degrees
x=51.82729°+360°*n
x=308.17°+360°*n