SOLUTION: I NEED HELP WITH THIS PROBLEM TUTORS. THANKS
THE FORMULA FOR CALCULATING THE AMOUNT OF MONEY RETURNED FOR AN INITIAL DEPOSIT INTO A BANK ACCOUNT OR CD )CERTIFICATE OF DEPOSIT) IS
Algebra ->
Customizable Word Problem Solvers
-> Finance
-> SOLUTION: I NEED HELP WITH THIS PROBLEM TUTORS. THANKS
THE FORMULA FOR CALCULATING THE AMOUNT OF MONEY RETURNED FOR AN INITIAL DEPOSIT INTO A BANK ACCOUNT OR CD )CERTIFICATE OF DEPOSIT) IS
Log On
Question 116300: I NEED HELP WITH THIS PROBLEM TUTORS. THANKS
THE FORMULA FOR CALCULATING THE AMOUNT OF MONEY RETURNED FOR AN INITIAL DEPOSIT INTO A BANK ACCOUNT OR CD )CERTIFICATE OF DEPOSIT) IS GIVEN BY
A=P[1+R/N]
A=AMOUNT OF THE RETURN
P=PRINCIPAL AMOUNT INITIALLY DEPOSITED
r=the annual interest rate (expressed as a decimal)
n=the number of compound periods in one year.
t= is the number of years.
CARRY ALL CALUCULATIONS TO SIX DECIMALS ON EACH INTERMEDIATE STEP, THEN ROUND THE FINAL ANSWER TO THE NEAREST CENT.
sUPPOSE YOU DEPOSIT $4,000 FOR 8 YEARS AT A RATE OF 7%
A) CALCULATE THE RETURN (A) IF THE BANK COMPOUNDS ANNUALLY (N=1). ROUND YOUR ANSWER TO THE HUNDRETH'S PLACE.
ANSWER:
SHOW YOUR WORK:
B) CALCULATE THE RETURN (A) IF THE BANK COMPOUNDS MONTHLY (N=12).ROUND YOU ANSWER TO THE NEAREST HUNDRETH'S PLACE.
ANSWER:
SHOW YOUR WORK:
C) DOES COMPOUNDING ANNUALLY OR MONTHLY YIELD MORE INTEREST? EXPLAIN WHY?
ANSWER:
SHOW YOUR WORK:
D) IF A BANK COMPOUNDS CONTINUOUSLY, THEN THE FORMULA USED IS A=Pe^rt
were e is a constant and equals approximatly 2.7183. Calculate A with continuous compounding. Round your answer to the hundreth's place.
answer:
show your work:
E) A COMMONLY ASKED QUESTION IS,"HOW LONG WILL IT TAKE TO DOUBLE MY MONEY?" AT 7% INTEREST RATE AND CONTINUOUS COMPOUNDING, WHAT IS THE ANSWER? ROUND YOUR ANSWER TO THE HUNDRETH'S PLACE.
ANSWER:
SHOW YOUR WORK.
NEED HELP ASAP. THANK YOU VERY MUCH TUTOR!!
You can put this solution on YOUR website! is the amount of returned
is the principal amount deposited
is the annual interest rate (expressed as a decimal)
is the compound period
is the number of years
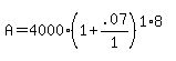
a)
$
= %
…….$
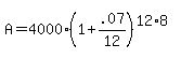
b)
given:
=
…….$
c)
compounding monthly yield more interest; the more frequently an account pays interest, the faster you can start earning interest on interest
Compounded annually: