SOLUTION: Use graphical approximation techniques or an equation solver to approximate the desired interest rate. A person makes annual payments of $ 1000 into an ordinary annuity. At the end

Algebra ->  Customizable Word Problem Solvers  -> Finance -> SOLUTION: Use graphical approximation techniques or an equation solver to approximate the desired interest rate. A person makes annual payments of $ 1000 into an ordinary annuity. At the end      Log On

Ad: Over 600 Algebra Word Problems at edhelper.com


   



Question 1161452: Use graphical approximation techniques or an equation solver to approximate the desired interest rate. A person makes annual payments of $ 1000 into an ordinary annuity. At the end of 5 ​years, the amount in the annuity is $ 5666.43. What annual nominal compounding rate has this annuity​ earned?
Answer by greenestamps(13203) About Me  (Show Source):
You can put this solution on YOUR website!


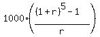
The future value formula for payments of $1000 annually for 5 years at interest rate r is

1000%28%28%281%2Br%29%5E5-1%29%2Fr%29

Graph that function and the constant 5666.43 on a graphing calculator and find the intersection.

ANSWER: r = .0626 = 6.26%