SOLUTION: Calculate the how much you would end up with if you invested 35000 in a GIC at a rate of 3.6% per year, compounded quarterly for 2.5 years.

Algebra ->  Customizable Word Problem Solvers  -> Finance -> SOLUTION: Calculate the how much you would end up with if you invested 35000 in a GIC at a rate of 3.6% per year, compounded quarterly for 2.5 years.      Log On

Ad: Over 600 Algebra Word Problems at edhelper.com


   



Question 1157576: Calculate the how much you would end up with if you invested 35000 in a GIC at a rate of 3.6% per year, compounded quarterly for 2.5 years.
Answer by ankor@dixie-net.com(22740) About Me  (Show Source):
You can put this solution on YOUR website!
Calculate the how much you would end up with if you invested 35000 in a GIC at a rate of 3.6% per year, compounded quarterly for 2.5 years.
:
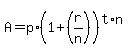
The compound interest formula
A+=+p%2A%281%2B%28r%2Fn%29%29%5E%28t%2An%29, where
A = the accumulated amt after t years
p = the principal amt
n = no. of interest payments per year
r = rate of interest in decimal form
t = time in yrs
A+=+35000%2A%281%2B%28.036%2F4%29%29%5E%282.5%2A4%29
A+=+35000%2A%281.009%29%5E10
use your calc 1.009^10
A = 35000*1.093734
A = $38,280.69