Question 1151908: difference between nominal rate and effective interest rate and their respective formulae
Answer by MathLover1(20855) (Show Source):
You can put this solution on YOUR website!
Effective interest rate is the one which caters the compounding periods during a payment plan.The nominal interest rate is the periodic interest rate times the number of periods per year. Nominal interest rate is also defined as a stated interest rate.
A nominal interest rate for compounding periods less than a year is always lower than the equivalent rate with annual compounding.
For example, a nominal annual interest rate of % based on monthly compounding means a % interest rate per month (compounded).
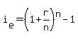
The effective interest rate is always calculated as if compounded annually. The effective rate is calculated in the following way, where ie is the effective rate, the nominal rate (as a decimal, e.g. % = ), and “ ” the number of compounding periods per year (for example, for monthly compounding):
Effective Rate =
The nominal interest rate formula can be calculated as:
Significance:
Effective and nominal interest rates allow banks to use the number that looks
most advantageous to the consumer. When banks are charging interest, they
advertise the rate, which is and does   the  on the balance after a full year of compounding. On the other hand,    banks are  , they advertise the rate it than the
nominal rate.
Therefore, if you were to borrow money at percent APR and immediately deposit it in an account at percent APY, the deposit account will
have  at the end of the year   on the .
|
|
|