SOLUTION: A deposit account in the mid-shires Bank of 3200, which pays compound interest at 8 % per year, with tax paid. He hopes to keep the money in the bank for 3 years.

Algebra ->  Customizable Word Problem Solvers  -> Finance -> SOLUTION: A deposit account in the mid-shires Bank of 3200, which pays compound interest at 8 % per year, with tax paid. He hopes to keep the money in the bank for 3 years.      Log On

Ad: Over 600 Algebra Word Problems at edhelper.com


   



Question 1099702: A deposit account in the mid-shires Bank of 3200, which pays compound interest at 8 % per year, with tax paid. He hopes to keep the money in the bank for 3 years.
Answer by Fombitz(32388) About Me  (Show Source):
You can put this solution on YOUR website!
I'm assuming you want the future value?
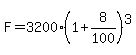
F=P%281%2Bi%29%5En
F=3200%281%2B8%2F100%29%5E3
F=3200%281.08%29%5E3
F=3200%281.259712%29
Work that out for the answer.