SOLUTION: jim invests a total of 50000 in 2 accounts, one earning 2.5% simple interest, the other earning 5 %. if after 2 years the account earning 5% has earned 500 more, how much was inves

Algebra ->  Customizable Word Problem Solvers  -> Finance -> SOLUTION: jim invests a total of 50000 in 2 accounts, one earning 2.5% simple interest, the other earning 5 %. if after 2 years the account earning 5% has earned 500 more, how much was inves      Log On

Ad: Over 600 Algebra Word Problems at edhelper.com


   



Question 1066806: jim invests a total of 50000 in 2 accounts, one earning 2.5% simple interest, the other earning 5 %. if after 2 years the account earning 5% has earned 500 more, how much was invested in the 5% account?

Answer by josmiceli(19441) About Me  (Show Source):
You can put this solution on YOUR website!
Let +P%5B1%5D+ = amount invested @ 2.5%
+P%5B2%5D+=+50000+-+P%5B1%5D+
Let +I%5B1%5D+ = interest earned by 2.5% account
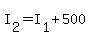
+I%5B2%5D+=+I%5B1%5D+%2B+500+ = interest earned by 5% account
---------------------------------------------------
(1) +I%5B1%5D+=+P%5B1%5D%2A.025%2A2+
(1) +I%5B1%5D+=+P%5B1%5D%2A.05+
and
(2) +I%5B2%5D+=+P%5B2%5D%2A.05%2A2+
(2) +I%5B2%5D+=+P%5B2%5D%2A.1+
(2) +I%5B1%5D+%2B+500+=+%28+50000+-+P%5B1%5D+%29%2A.1+
---------------------------------------
(2) +I%5B1%5D+%2B+500+=+5000+-+.1P%5B1%5D+
(2) +I%5B1%5D+=+4500+-+.1P%5B1%5D+
Substitute (1) into (2)
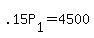
(2) +.05P%5B1%5D+=+4500+-+.1P%5B1%5D+
(2) +.15P%5B1%5D+=+4500+
(2) +P%5B1%5D+=++30000+
and
(1) +I%5B1%5D+=+.05P%5B1%5D+
(1) +I%5B1%5D+=+.05%2A30000+
(1) +I%5B1%5D+=+1500+
and
+P%5B2%5D=+50000+-+P%5B1%5D+
+P%5B2%5D+=+50000+-+30000+
+P%5B2%5D+=+20000+
$20,000 was invested @ 5%
---------------------------
check:
(2) +I%5B2%5D+=+P%5B2%5D%2A.1+
(2) +I%5B2%5D+=+20000%2A.1+
(2) +I%5B2%5D+=+2000+
and
+I%5B2%5D+-+I%5B1%5D+=+2000+-+1500+
+I%5B2%5D+-+I%5B1%5D+=+500+
OK