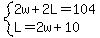
SOLUTION: The perimeter of the garden is 104 feet. The length is ten feet more than twice the width. The length of the garden is ? feet and the width is ? feet.

Algebra ->  Customizable Word Problem Solvers  -> Finance -> SOLUTION: The perimeter of the garden is 104 feet. The length is ten feet more than twice the width. The length of the garden is ? feet and the width is ? feet.      Log On

Ad: Over 600 Algebra Word Problems at edhelper.com


   



Question 1048328: The perimeter of the garden is 104 feet. The length is ten feet more than twice the width. The length of the garden is ? feet and the width is ? feet.
Answer by josgarithmetic(39627) About Me  (Show Source):