SOLUTION: Boris borrowed $ 8000 at a rate of 18 % , compounded semiannually. Assuming he makes no payments, how much will he owe after 5 years

Algebra ->  Customizable Word Problem Solvers  -> Finance -> SOLUTION: Boris borrowed $ 8000 at a rate of 18 % , compounded semiannually. Assuming he makes no payments, how much will he owe after 5 years      Log On

Ad: Over 600 Algebra Word Problems at edhelper.com


   



Question 1025927: Boris borrowed


$
8000
at a rate of


18
%
, compounded semiannually. Assuming he makes no payments, how much will he owe after


5
years

Answer by fractalier(6550) About Me  (Show Source):
You can put this solution on YOUR website!
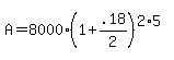
The amount A he will owe with compound interest is found by
A+=+P%281+%2B+r%2Fn%29%5E%28nt%29 so that
A+=+8000%281+%2B+.18%2F2%29%5E%282%2A5%29
A+=+8000%281.09%29%5E10
A+=+18938.91