SOLUTION: 1\5(x+1) +1/7(x+1)=3/2
Algebra
->
Customizable Word Problem Solvers
->
Evaluation
-> SOLUTION: 1\5(x+1) +1/7(x+1)=3/2
Log On
Ad:
Over 600 Algebra Word Problems at edhelper.com
Word Problems: Evaluation, Substitution
Word
Solvers
Solvers
Lessons
Lessons
Answers archive
Answers
Click here to see ALL problems on Evaluation Word Problems
Question 917780
:
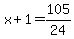
1\5(x+1) +1/7(x+1)=3/2
Answer by
MathLover1(20850)
(
Show Source
):
You can
put this solution on YOUR website!
...cross multiply
...divide by