Question 823880: I need not only answers,but detail solution too
The points (-4,0), (-3,-6), (-2, -10) and (1,-10) lie on the curve y = . Find a,
b and c and hence draw the curve showing clearly the turning point.
Answer by jsmallt9(3758) (Show Source):
You can put this solution on YOUR website! A key to a quick solution is noticing that the points (-2, -10) and (1, -10) have the same y-coordinate. Because of the symmetry of parabolas, these two points tells us that the axis of symmetry and the vertex are halfway between -2 and 1:

So the x-coordinate of the vertex is -1/2.
We will use this to build the vertex form, for the equation of this parabola. (Then we will transform the equation into standard form.) In the vertex form the "h" and the "k" are the x and y coordinates of the vertex. Since we have already found the x-coordinate we can start with:

which simplifies to:

Next we will substitute in the coordinates of the given points. I'll use (1, -10):

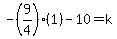
Simplifying...



Solving this for k:

Now we'll repeat this with another point. I'll use (-3, -6):

Simplifying...



Now we'll substitute, into this equation, the expression we got earlier for k:

With only the "a" left, we can solve for it. Simplifying...


Adding 10:

Dividing by 4:
1 = a
Now we can use this to find k:




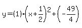
Our vertex form is now complete:

which simplifies to:

With h = -1/2 and k = -49/4, the vertex/"turning point" is (-1/2, -49/4).
All that's left is to transform this into standard form. Simplifying...



|
|
|