SOLUTION: it says, "Complete the square and write each equation in the standard form?" ellipse: 4x^2 + 24x + y^2 + 8y = -36 parabola: x^2 + 12x + 36 = 4y - 28 please help!

Algebra ->  Customizable Word Problem Solvers  -> Evaluation -> SOLUTION: it says, "Complete the square and write each equation in the standard form?" ellipse: 4x^2 + 24x + y^2 + 8y = -36 parabola: x^2 + 12x + 36 = 4y - 28 please help!      Log On

Ad: Over 600 Algebra Word Problems at edhelper.com


   



Question 665077: it says, "Complete the square and write each equation in the standard form?"
ellipse: 4x^2 + 24x + y^2 + 8y = -36
parabola: x^2 + 12x + 36 = 4y - 28
please help!

Found 2 solutions by MathLover1, lwsshak3:
Answer by MathLover1(20850) About Me  (Show Source):
You can put this solution on YOUR website!
ellipse: 4x%5E2+%2B+24x+%2B+y%5E2+%2B+8y+=+-36

4x%5E2+%2B+24x+%2B+y%5E2+%2B+8y+%2B36=0


%284x%5E2+%2B+24x+%2B36%29+%2B+y%5E2+%2B+8y=0

4%28x%5E2+%2B+6x+%2B9%29+%2B+y%5E2+%2B+8y=0

4%28x%2B3%29%5E2+%2B+%28y%5E2+%2B+8y%2B16%29-16=0

4%28x%2B3%29%5E2+%2B+%28y+%2B4%29%5E2=16

4%28x%2B3%29%5E2%2F16+%2B+%28y+%2B4%29%5E2%2F16=16%2F16

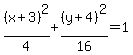
%28x%2B3%29%5E2%2F4+%2B+%28y+%2B4%29%5E2%2F16=1........a%5E2=4 and b%5E2=16
2.
To convert an equation from standard form to vertex form it is sometimes necessary to be comfortable completing the square.
The vertex form of a parabola's equation is generally expressed as :
y=+a%28x-h%29%5E2%2Bk

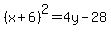
x%5E2+%2B+12x+%2B+36+=+4y+-+28
%28x+%2B6%29%5E2+=+4y+-+28
%28x+%2B6%29%5E2%2B28+=+4y+
%28x+%2B6%29%5E2%2F4%2B28%2F4+=+y+
y=%28x+%2B6%29%5E2%2F4%2B7+

y=%281%2F4%29%28x+%2B6%29%5E2%2B7+


Answer by lwsshak3(11628) About Me  (Show Source):
You can put this solution on YOUR website!
it says, "Complete the square and write each equation in the standard form?"
..
standard form of equation for an ellipse with vertical major axis: %28x-h%29%5E2%2Fb%5E2%2B%28y-k%29%5E2%2Fa%5E2, a>b, (h,k)=(x,y) coordinates of the center.
..
ellipse: 4x^2 + 24x + y^2 + 8y = -36
4(x^2+6x+9)+(y^2+8y+6) = -36+36+6
4(x+3)^2+(y+3)^2=6
%28x%2B3%29%5E2%2F%283%2F2%29%2B%28y%2B3%29%5E2%2F6=1
This is an equation of and ellipse with vertical major axis and center at (-3,-3)
..
standard form of equation for a parabola:y=A%28x-h%29%5E2%2Bk, (h,k)=(x,y) coordinates of the vertex, A=multiplier that affects the slope or narrowness of the curve. For A>0, parabola opens upwards, and for A<0 parabola opens downwards
..
parabola: x^2 + 12x + 36 = 4y - 28
4y=x^2+12x+36+28
4y=x^2+12x+64
4y=(x^2+12x+36)+64-36
4y=(x+6)^2+28
y=(1/4)(x+6)^2+7
y=%281%2F4%29%28x%2B6%29%5E2%2B7
This is an equation of a parabola that opens upwards with vertex at (-6,7)